Lý thuyết
Phát hiện quy luật của dãy số
Dạng tổng quát:
Áp dụng phương pháp khử liên tiếp: Viết mỗi số hạng thành hiệu
của hai số sao cho số trừ ở nhóm trước bằng số bị trừ ở nhóm sau.
Bài tập
Bài 1:
Tính:

Phương pháp
Nhận xét: Tử số bằng hiệu của các thừa số ở mẫu.
Dạng tổng quát:
Phát hiện quy luật của dãy số
Dạng tổng quát:

Áp dụng phương pháp khử liên tiếp: Viết mỗi số hạng thành hiệu của hai số sao cho số trừ ở nhóm trước bằng số bị trừ ở nhóm sau.


Phương pháp
Nhận xét: Tử số bằng hiệu của các thừa số ở mẫu.
Dạng tổng quát:
Phát hiện quy luật của dãy số
Dạng tổng quát:

Áp dụng phương pháp khử liên tiếp: Viết mỗi số hạng thành hiệu của hai số sao cho số trừ ở nhóm trước bằng số bị trừ ở nhóm sau.


Phương pháp
Nhận xét: Tử số bằng hiệu của các thừa số ở mẫu.
Dạng tổng quát:
Phát hiện quy luật của dãy số
Dạng tổng quát:

Áp dụng phương pháp khử liên tiếp: Viết mỗi số hạng thành hiệu của hai số sao cho số trừ ở nhóm trước bằng số bị trừ ở nhóm sau.

Xét từng phân số ta thấy: Hiệu 2 thừa số ở mẫu bằng 6
⇒ Nhân cả 2 vế của biểu thức với 3

Phương pháp
Nhận xét: Tử số bằng hiệu của các thừa số ở mẫu.
Dạng tổng quát:
Phát hiện quy luật của dãy số
Dạng tổng quát:

Áp dụng phương pháp khử liên tiếp: Viết mỗi số hạng thành hiệu của hai số sao cho số trừ ở nhóm trước bằng số bị trừ ở nhóm sau.


Phương pháp
Nhận xét: Tử số bằng hiệu của các thừa số ở mẫu.
Dạng tổng quát:
Phát hiện quy luật của dãy số
Dạng tổng quát:

Áp dụng phương pháp khử liên tiếp: Viết mỗi số hạng thành hiệu của hai số sao cho số trừ ở nhóm trước bằng số bị trừ ở nhóm sau.


Phương pháp
Nhận xét: Tử số bằng hiệu của các thừa số ở mẫu.
Dạng tổng quát:
Phát hiện quy luật của dãy số
Dạng tổng quát:

Áp dụng phương pháp khử liên tiếp: Viết mỗi số hạng thành hiệu của hai số sao cho số trừ ở nhóm trước bằng số bị trừ ở nhóm sau.

Bài 2:
a) Tính tổng sau:

Phương pháp
Xét các phân số có tử bằng nhau và có mẫu là lũy thừa tăng dần của cùng 1 cơ số thì ta nhân cả 2 vế với đúng cơ số đó. Trường hợp tổng quát:

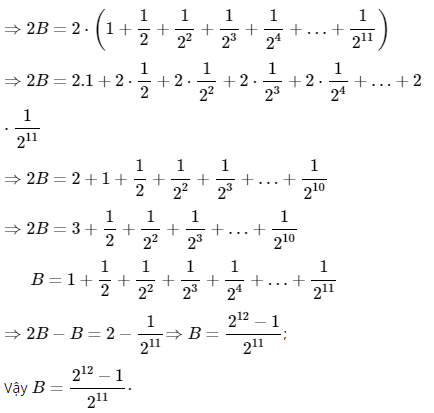
b) Tính tổng sau:
Phương pháp
Xét các phân số có tử bằng nhau và có mẫu là lũy thừa tăng dần của cùng 1 cơ số thì ta nhân cả 2 vế với đúng cơ số đó. Trường hợp tổng quát:


Bài 3:
a) Tính tổng sau:

Phương pháp
+) Áp dụng quy tắc dấu ngoặc, nhóm các hạng tử.
+) Áp dụng công thức tính tổng của 1 dãy các số tự nhiên liên tiếp:



Phương pháp
+) Áp dụng quy tắc dấu ngoặc, nhóm các hạng tử.
+) Áp dụng công thức tính tổng của 1 dãy các số tự nhiên liên tiếp:

Ta có:

0 Comments:
Đăng nhận xét