DẠNG 1: TỔNG CÓ DẠNG: S = 1 + a + a2 + a3 + ….+ an (1)
DẠNG 1: TỔNG CÓ DẠNG: S = 1 + a + a2 + a3 + ….+ an (1)
B1: Nhân vào hai vế của đẳng thức với số a ta được.
a.S = a + a2 + a3 + a4 + ….+ an + 1 (2)
B2: Lấy (2) trừ (1) vế theo vế được:
Bài 1: Tính tổng S = 1 + 2 + 22 + 23 + 24 +…..+ 2100
Bài 2: Tính tổng S = 6 + 62 + 63 + 64 + …..+ 699
Bài 3: Tính tổng S = 1 + 4 + 42 + 43 + …...+ 41000
Bài 4: Tính tổng
Bài 5: Tính tổng
DẠNG 2: TỔNG CÓ DẠNG: S = 1 + a2 + a4 + a6 + ….+ a2n (1)
I/ PHƯƠNG PHÁP.
B1: Nhân vào hai vế của đẳng thức với số a2 ta được.
a2S = a2 + a4 + a6 + a8 + ….+ a2n + 2 (2)
B2: Lấy (2) trừ (1) vế theo vế được:
II/ BÀI TẬP VẬN DỤNG.
Bài 1: Tính tổng S = 1 + 22 + 24 + 26 + …..+ 298 + 2100
Bài 2: Tính tổng S = 62 + 64 + 66 + …..+ 698 + 6100
Bài 3: Tính tổng 1 + 32 + 34 + 36 + …...+ 3100 + 3102
Bài 4: Tính tổng
Bài 5: Tính tổng
DẠNG 3: TỔNG CÓ DẠNG: S = a + a3 + a5 + a7 + ….+ a2n + 1 (1)
I/ PHƯƠNG PHÁP.
B1: Nhân vào hai vế của đẳng thức với số a2 ta được.
a2S = a3 + a5 + a7 + a9 + ….+ a2n + 3 (2)
B2: Lấy (2) trừ (1) vế theo vế được:
II/ BÀI TẬP VẬN DỤNG.
Bài 1: Tính tổng S = 1 + 2 + 23 + 25 + …..+ 299 + 2101
Bài 2: Tính tổng S = 63 + 65 + 67 + …..+ 699 + 6101
Bài 3: Tính tổng S = 1 + 33 + 35 + 37 + …...+ 3101 + 3103
Bài 4: Tính tổng
Bài 5: Tính tổng
DẠNG 4: TỔNG CÓ DẠNG: S = 1.2 + 2.3 + 3.4 + 4.5 + ….+ (n – 1).n (1)
I/ PHƯƠNG PHÁP.
Vì khoảng cách giữa 2 thừa số trong mỗi số hạng bằng 1 => Nhân vào hai vế của đẳng thức với 3 lần khoảng cách (nhân với 3) ta được.
3.S = 1.2.3 + 2.3.3 + 3.4.3 + 4.5.3+ ….+ (n – 2).(n – 1) .3+ (n - 1).n.3
= 1.2.3 + 2.3.(4 – 1) + 3.4.(5 – 2) + ….+ (n – 2).(n – 1).[n – (n – 3)]
+ (n -1).n.[(n + 1) – (n – 2)]
= (n – 1).n.(n + 1)
II/ BÀI TẬP VẬN DỤNG.
Bài 1: Tính tổng S = 1.2 + 2.3 + 3.4 + 4.5 + …..+ 99.100
Bài 2: Tính tổng S = 1.3 + 3.5 + 5.7 + …..+ 99.101
Bài 3: Tính tổng S = 1.4 + 4.7 + 7.10 + …37.40 + 40.43
DẠNG 5: TỔNG CÓ DẠNG: P = 12 + 22 + 32 + 42 + … + n2
I/ PHƯƠNG PHÁP.
Áp dụng tổng của DẠNG 5 là: S = 1.2 + 2.3 + 3.4 + 4.5 + ….+ n(n+1)
S = 1.(1 + 1) +2 (2 +1 ) + 3(3 + 1) + 4(4 + 1) +…+ n(n + 1)
= (12 + 22 + 32 + 42 + … + n2) + (1 + 2 + 3 + …. + n)
= P + (1 + 2 + 3 + …. + n)
=> P = S - (1 + 2 + 3 + …. + n)
Trong đó theo DẠNG 5 thì
Theo DẠNG 1
II/ BÀI TẬP VẬN DỤNG.
Bài 4: Tính tổng P = 12 + 22 + 32 + …+ 502
Bài 5: Tính tổng Q = 12 + 22 + 32 + …+ 512
DẠNG 6: TỔNG CÓ DẠNG: S = 12 + 32 + 52 + …+ (2n+1)2
I/ PHƯƠNG PHÁP.
Áp dụng tổng A = 1.2 + 2.3 + 3.4 + 4.5 + ….+ (k - 2)(k - 1) + (k – 1). k Với k = 2n + 2
= 0.1 + 1.2 + 2.3 + 3.4 + 4.5 + ….+ (k - 2)(k - 1) + (k – 1). k
= 1(0 + 2) + 3(2 + 4) + 5(4 + 6) + …+ (k – 1). [(k– 2) + k]
= 1.2 + 3. 6 + 5.10 +…+ (k - 1).(2k – 2)
= 1.1.2 + 3.3.2 + 5.5.2 +…+ (k – 1).(k – 1).2
= 2.[12 + 32 + 52 + ….+ (k – 1)2]
= 2.[12 + 32 + 52 + ….+ (2n + 1)2]
= 2.S
mà theo DẠNG 5 thì tổng
II/ BÀI TẬP VẬN DỤNG.
Bài 1: Tính tổng S = 12 + 32 + 52 + …+ 992
Bài 2: Tính tổng S = 52 + 72 + 92 +…+ 1012
Bài 3: Tính tổng S = 112 + 132 + ….+ 20092
DẠNG 7: TỔNG CÓ DẠNG: S = 22 + 42 + 62 + …+ (2n)2
I/ PHƯƠNG PHÁP.
Áp dụng tổng A = 1.2 + 2.3 + 3.4 + 4.5 + ….+ (k - 2)(k - 1) + (k – 1). k Với k = 2n + 1
= 1.2 + 2.3 + 3.4 + 4.5 + ….+ (k - 2)(k - 1) + (k – 1). k
= 2(1 + 3) + 4(3 + 5) + 6(5 + 7) + …+ (k – 1). [(k– 2) + k]
= 2.4 + 4.8 + 6.12 +…+ (k - 1).(2k – 2)
= 2.2.2 + 4.4.2 + 6.6.2 +…+ (k – 1).(k – 1).2
= 2.[12 + 32 + 52 + ….+ (k – 1)2]
= 2.[22 + 42 + 62 + ….+ (2n)2]
= 2.S
mà theo DẠNG 5 thì tổng
Áp dụng tính: P = 12 + 22 + 32 + ….+ n2
Xét: S = 22 + 42 + 62 + …+ (2n)2
II/ BÀI TẬP VẬN DỤNG.
Bài 1: Tính tổng M = 22 + 42 + 62 + …+ 1002
Bài 2: Tính tổng N = 62 + 82 + 102 +…+ 1022
Bài 3: Tính tổng H = 122 + 142 + ….+ 20102
Bài 4: Tính tổng P = 12 + 22 + 32 + …+ 1002
Bài 5: Tính tổng Q = 12 + 22 + 32 + …+ 1012
Bài 6: Tính tổng A = 1 + 4 + 9 + 16 + 25 + …+ 10000.
Bài 7: Tính tổng K = - 12 + 22 – 32 + 42 – 52 +….- 192 + 202
Bài 8: Biết rằng 12 + 22 + 32 +…+ 102 = 385, Tính tổng S = 22 + 42 + 62 + … + 202
DẠNG 8: TỔNG CÓ DẠNG: S = a1.a2 + a2.a3 +
a3.a4 + a4.a5 + ….+ an-1.
an (1)
I/ PHƯƠNG PHÁP.
* Với a2 – a1 = a3 – a2 = ….= an - an-1 = 2
S = a1.(a1 + 2) + a2. (a2 + 2) + a3. (a3 + 2) + a4. (a4 + 2) + ….+ an-1. (an - 1 + 2)
= S1+k.S2
S2 = a1+ a2+ a3+…+an-1 được tính theo DẠNG 1.
* Với a2 – a1 = a3 – a2 = ….= an - an-1 = k > 2
Nhân cả hai vế với 3k , rồi tách 3k ở mỗi số hạng để tạo thành các số hạng mới tự triệt tiêu.
II/ BÀI TẬP VẬN DỤNG.
Bài 1: Tính tổng M = 1.3 + 3.5 + 5.7 + ….+ 49.51
Bài 2: Tính tổng N = 2.4 + 4.6 + 6.8 + …..+ 100.102
Bài 3: Tính tổng P = 1.4 + 4.7 + 7.10 + ….+ 49.52
Hướng dẫn
Vì khoảng cách giữa hai thừa số trong mỗi số hạng bằng 3
=> Nhân cả hai vế với 9 ta có:
9P = 1.4.9 + 4.7.9 + 7.10.9 + ….+ 46.49.9 + 49.52.9
= 1.4.(7 + 2) + 4.7.(10 – 1) + 7.10.(13 – 4) + …+ 46.49.(52 – 43) + 49.52.(55 – 46)
= 1.4.2 + 49.52.55
= 140148
=> P = 15572
Bài 4: Tính tổng S = 2.6 + 6.10 + 10.14 + 14.18 + ….+42.46 + 50.54
DẠNG 9: TỔNG CÓ DẠNG: S = 1.a2.a3 + a2.a3 .a4 + a3.a4 .a5 + a4.a5.a6 + ….+ an-2 .an-1. an
Với a2 – 1 = a3 – a2 = a4 – a3 =….= an - an-1 = k
Nhân hai vế với 4k, rồi tách 4k ở mỗi số hạng trong tổng để số hạng trước và số hạng sau tạo thành những số tự triệt tiêu nhau.
4k.S = 1.a2.a3.4k + a2.a3 .a4.4k + a3.a4 .a5.4k + a4.a5.a6.4k + ….+ an-2 .an-1. an.4k
= an-2 .an-1. an.(an + k)
II/ BÀI TẬP VẬN DỤNG.
Bài 1: Tính tổng S = 1.2.3 + 2.3.4 + 3.4.5 + …..+ 16.17.18 + 17.18.19
Hướng dẫn
Khoảng cách giữa các thừa số bằng 1 => Nhân hai vế với 4 ta được.
4S = 1.2.3.4 + 2.3.4.4 + 3.4.5.4 + …..+ 16.17.18.4 + 17.18.19.4
= 1.2.3.4 + 2.3.4.(5 – 1) + 3.4.5.(6 – 2) + …+ 16.17.18.(19 – 15) + 17.18.19.(20 – 16)
= 17.18.19.20 = 116280
Bài 2: Tính tổng S = 1.3.5 + 3.5.7 + 5.7.9 + …+ 95.97.99
Gợi ý: Nhân hai vế với 8
Bài 3: Tính tổng A = 1.2.3.4 + 2.3.4.5 + … + 18.19.20.21 + 19.20.21.22
Gợi ý: Nhân hai vế với 5
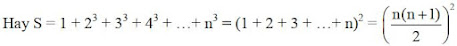
DẠNG 10: TỔNG CÓ DẠNG: S = 1 + 23 + 33 + 43 + …+ n3
I/ PHƯƠNG PHÁP.
Áp dụng tổng: B = 1.2.3 + 2.3.4 + … + (n - 1)n(n + 1)
Trong mỗi số hạng, tách thừa số đầu và thừa số sau theo tổng và hiệu của thừa số giữa với 1. Ta có:
B = (2 - 1).2.(2 + 1) + (3 - 1).3.(3 + 1) + … + (n - 1)n(n + 1)
= (23 - 2) + (33 - 3) + … + (n3 - n)
= (23 + 33 + …+ n3) - (2 + 3 + …+ n)
= (1 + 23 + 33 + …+ n3) - (1 + 2 + 3 + …+ n)
=> S = B + (1 + 2 + 3 + …+ n)
Trong đó: Theo DẠNG 10 thì:
Theo DẠNG 1 thì:
II/ BÀI TẬP VẬN DỤNG.
Bài 1: Tính tổng S = 13 + 23 + 33 + … + 1003
Bài 2: Tính tổng S = 13 + 23 + 33 + … + 513












0 Comments:
Đăng nhận xét